中山大学蔡鑫伦教授团队研究成果成功入选“2022中国光学十大进展”
2022年度中国光学十大进展发布,中山大学蔡鑫伦教授团队研究成果“世界首例铌酸锂薄膜偏振复用相干光调制器”成功入选“2022中国光学十大进展”(应用研究类),这是该团队继2019年和2020年后第三次获此殊荣。获奖研究成果于2022年1月以“Dual-polarization Thin-film Lithium Niobate IQ modulator for Terabit-per-second Transmission”为题发表在光学顶尖国际期刊Optica上。该项研究成功研制出了在下一代超高速、低功耗的相干光传输系统不可或缺的电光转换器件。博士研究生徐梦玥和博士后朱运涛为该论文的共同第一作者。
在5G、物联网、虚拟现实、人工智能等新一代信息技术推动下,通信网络信息容量继续呈指数增长,光通信技术面临如何进一步拓宽带宽和降低能耗的巨大挑战。电光调制器是把电子信号加载至光载波上的关键功能器件,也是电光调制器芯片是光通信系统中容量、能耗和集成度矛盾最突出的瓶颈性器件。支持偏振复用的同向正交(Dual-polarization In-phase Quadrature, DP-IQ)调制器的作用是将数字电信号以传输效率更高的高阶幅度相位调制格式加载到两个偏振态相互正交的光载波上,是相干光通信系统发射端的核心关键器件,也是复杂程度最高的电光调制器。长久以来,世界各国都在致力于实现小型化、超大带宽(>100 GHz)、超低驱动电压(~1V)和高线性度的DP-IQ调制器。与传统的铌酸锂晶体材料相比较,铌酸锂薄膜在继承其固有的线性电光效应强和本征光损耗低等优点的同时,可以构建具有较高折射率差的光波导,通过压缩光波模式的横截面积大幅度降低调制电压和功耗,并且可以大大缩小光子器件尺寸,因此非常有利于实现规模化集成的小尺寸、高性能光电子芯片。近年来,蔡鑫伦教授团队基于铌酸锂薄膜的光电子器件研究取得了一系列的重要进展,开发出一大批性能优越的光电子功能芯片,然而支持超高速率光传输的铌酸锂薄膜DP-IQ调制器却却一直未能成功研制。
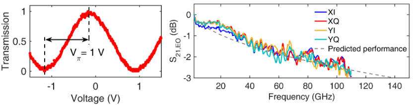
获奖研究工作实现了世界首例基于铌酸锂薄膜的偏振复用相干光调制器芯片(图2)。该芯片集成了四个马赫曾德尔型调制器(MZM)和低串扰、低插入损耗的偏振旋转合束器(PRC)。电压-带宽积是衡量调制器性能的关键指标,该工作突破性地实现了目前调制器的最高水平(>100 GHz/V2)。芯片创新地采用了优化设计的电容加载行波电极 (capacitance-loaded traveling-wave electrodes,CL-TWE),相比传统电极,具有更低的微波损耗以及更完美的电光匹配,实测电光调制器带宽超过110 GHz(图3),已达到实验室微波测试设备的测量极限,这也是世界首例带宽超过100 GHz的DP-IQ电光调制器。
芯片中的四路MZM都具有低至1V的半波电压,调制驱动电压仅仅需要600 mV左右,可以由普通的低功耗CMOS芯片直接驱动,这一特性将在未来低功耗、低成本的光通信链路中发挥重要作用。利用该器件,研究团队展示了130 Gbaud的概率星座图整形400 QAM(图4)。器件在CMOS兼容的驱动电压下,实现了单载波1.96 Tb/s的传输速率,这是目前单载波相干传输净比特速率的世界纪录(图5),每比特的电功耗仅有1.04 fJ/bit。
近年来,我国铌酸锂薄膜材料及其光子集成技术研究走在了世界前列,率先在国际上取得了一系列领先的研究成果。本项工作进一步表明,在高端铌酸锂薄膜调制器芯片的研究领域,中国本土团队已经处于世界领先的地位。铌酸锂薄膜材料及其光子集成技术研究不但为实现我国光通信产业链自主可控提供了有力保障,而且还成功创造出下一代先进光通信技术的机遇窗口。
